Chemosphere—陈捷教授团队揭示生防木霉降解有机磷农药敌敌畏的分子机理
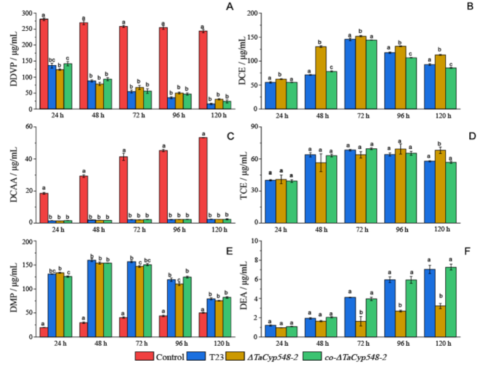
高毒有机磷农药尽管已被普遍禁止使用,但中、低毒有机磷农药在农业生产中仍被广泛使用,目前针对中低毒农药对环境和人畜污染存在的潜在风险缺乏关注[1。敌敌畏(2,2-dichlorovinyldimethyl phosphate),作为一种至今仍然在大量使用的中等毒性有机磷广谱杀虫剂,不适当使用可对水体和大气可造成污染,尤其对水产养殖,如鱼类、海产品等毒性较高,对蜜蜂剧毒。因此,如何利用有益微生物降解环境中的敌敌畏残留具有重要应用价值。陈捷教授团队博士生孙佳楠同学为第一作者最近在国际生态环境领域Top期刊发表最新研究成果 (Sun J, Karuppiah V, Li Y, Sivakumar P, Kumaran S, Chen J. Role of cytochrome P450 genes of Trichoderma atroviride T23 on the resistance and degradation of dichlorvos Chemosphere 290 (2022) 133173),即生防微生物深绿木霉T23中发现细胞色素P450基因家簇具有降解敌敌畏及其中间生物的功能。
.png)
.png)
.png)
孙佳楠同学在深绿木霉T23中发现有机磷农药水解酶基因TaPon1-like之后,进一步在深绿木霉T23基因组中克隆到降解和耐受敌敌畏降解相关的39个细胞色素P450基因,这些基因编码的细胞色素P450蛋白分布于21个集团下的29个家族,其中与初级代谢相关的细胞色素P450基因有4个,与次级代谢相关的细胞色素P450基因有14个,与外源性物质代谢相关的P450基因有21个。通过荧光定量PCR的方法分析了与外源性物质代谢相关的P450基因在敌敌畏诱导0 h、2 h、6 h、24 h和48 h后,21个基因的表达变化呈7种表达模式;在100 μg/mL、300 μg/mL、500 μg/mL和1000 μg/mL敌敌畏诱导24 h后,TaCyp548、TaCyp620、TaCyp52、TaCyp528和TaCyp504家族下的8个细胞色素P450基因的相对表达量较对照组至少上调表达1倍以上。同时发现TaCyp548-2属于脂肪酸代谢的ω-羟化酶,可将敌敌畏降解中间产物2,2-二氯乙醇进一步转化为终产物2,2-二氯乙醇醋酸酯TaCyp548-2,并能正调控乙酸、丙酸、异丁酸和二丁酸等低分子有机酸的形成,证明了这些小分子有机酸可促进敌敌畏降解中间产物2,2-二氯乙醇的进一步转化。论文链接https://doi.org/10.1016/j.chemosphere.2021.133173。




loading......